Bạn đang xem bài viết IRR là gì? Cách sử dụng và vai trò của chỉ số IRR tại Phuxuanuni.edu.vn bạn có thể truy cập nhanh thông tin cần thiết tại phần mục lục bài viết phía dưới.
Để hiểu chính xác nhất IRR là gì, IRR được sử dụng như thế nào, cách tính IRR,… bạn đọc có thể tham khảo bài viết của Phuxuanuni.edu.vn. Mọi thắc mắc của độc giả sẽ được giải đáp trong nội dung dưới đây.
IRR là gì?
IRR là tỷ lệ hoàn vốn nội bộ. Đây được xem là giá trị tính bằng tỷ lệ chiết khấu. Đồng thời biến giá trị ròng hiện tại (NPV) về zero (bằng không) của dự án.

IRR cũng có thể được hiểu là tỉ lệ lợi nhuận gộp hàng năm dự kiến sẽ kiếm được từ một dự án hay một khoản đầu tư. Nó được tính toán loại trừ các yếu tố bên ngoài như lạm phát và chi phí vốn.
IRR là viết tắt của từ gì?
IRR là viết tắt của từ Internal rate of return. Theo lĩnh vực tài chính, cụm từ này được dịch ra tiếng Việt là hoàn vốn nội bộ.
IRR cũng có thể được xem là lãi suất hiệu quả đầu tư. Chỉ số này được dùng để đo lường tỉ lệ hoàn vốn.
Công thức tính IRR
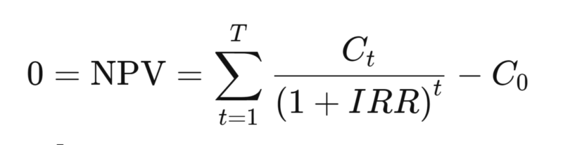
IRR được tính bằng cách cân bằng tổng giá trị hiện tại của dòng tiền trong tương lai trừ đi khoản đầu tư ban đầu bằng 0. Ngoài ra, IRR được tính dựa theo công thức tính NPV. Sau đây là công thức tính IRR:
Công thức tính IRR:

Trong đó:
- Co: Tổng chi phí đầu tư ban đầu (năm 0)
- Ct: Dòng tiền thuần tại thời điểm t (thường tính theo năm)
- IRR: Tỷ lệ hoàn vốn nội bộ
- t: Thời gian thực hiện dự án
- NPV: Giá trị hiện tại ròng
0 = NPV = Giá trị thu hiện tại – Giá trị chi hiện tại
Nhìn chung, giá trị IRR càng cao thì khả năng thực hiện dự án càng sớm. IRR thống nhất các khoản đầu tư thuộc nhiều loại khác nhau.
Ý nghĩa chỉ số IRR là gì?
Chỉ số IRR có ý nghĩa là tỉ lệ hoàn vốn nội bộ IRR càng lớn thì khả năng thực hiện dự án càng cao và ngược lại. IRR được dùng để đo lường, sắp xếp các dự án triển vọng theo thứ tự. Từ đó, bạn có thể dễ dàng cân nhắc xem có nên đầu tư vào dự án đó hay không.
Tỉ lệ IRR được xem là công cụ giúp các nhà đầu tư quyết định có nên tập trung toàn lực vào dự án này hay nhiều dự án khác. Nếu các yếu tố của dự án như nhau, dự án nào có tỉ lệ IRR cao thì sẽ được ưu tiên hàng đầu.
IRR được sử dụng như thế nào?
Chỉ số IRR được sử dụng như một phương pháp cho phép nhà đầu tư so sánh và xếp hạng các dự án dựa trên năng suất dự kiến của họ. IRR được sử dụng rộng rãi trong việc phân tích các khoản đầu tư cho vốn cổ phần tư nhân và đầu tư mạo hiểm. Nó bao gồm nhiều khoản đầu tư tiền mặt trong suốt vòng đời của một doanh nghiệp, dòng tiền vào cuối hoặc bán doanh nghiệp.

Nhà đầu tư có thể sử dụng chỉ số IRR để tính lợi tức kì vọng khi mua cổ phiếu. Ngoài ra, tỉ lệ hoàn vốn cũng có thể được sử dụng để tính toán lợi tức của trái phiếu khi đáo hạn. Đồng thời, nó còn có thể cân bằng rủi ro và lợi ích khi mua bất động sản.
Vai trò của IRR với doanh nghiệp
Chỉ số IRR có vai trò rất quan trọng đối với doanh nghiệp. Tỉ lệ hoàn vốn nội bộ có vai trò giúp đánh giá đưa ra lời cân nhắc về tính khả thi của dự án đó:
- Dự án có IRR lớn hơn tỷ lệ giới hạn định mức khả thi tài chính
- Với các dự án là tỷ lệ khả thi không cao có thể lựa chọn dự án có tỷ lệ IRR cao nhất.

Mối quan hệ giữa NPV và IRR
Trước tiên để biết mối quan hệ giữa NPV và IRR thì bạn phải hiểu được NPV là gì. NPV là giá trị hiện tại ròng.
IRR sẽ giúp doanh nghiệp dễ dàng nhìn nhận hơn vì thể hiện tỷ số % cụ thể, còn NPV thì sẽ khó hình dung hơn do nó thể hiện bằng tiền. Do đó, trước khi thực hiện một dự án người ta thường dùng cả hai chỉ số này để đánh giá dự án, phương pháp đó.
Trên đây là những chia sẻ của Phuxuanuni.edu.vn về thuật ngữ IRR. Hi vọng qua bài viết IRR là gì bạn có thể thu nạp thêm kiến thức về lĩnh vực tài chính. Chúc bạn có một ngày học tập và làm việc hiệu quả!
Cảm ơn bạn đã xem bài viết IRR là gì? Cách sử dụng và vai trò của chỉ số IRR tại Phuxuanuni.edu.vn bạn có thể bình luận, xem thêm các bài viết liên quan ở phía dưới và mong rằng sẽ giúp ích cho bạn những thông tin thú vị.
