Bạn đang xem bài viết NPV là gì? Chỉ số mà nhà đầu tư hay kinh doanh không nên bỏ qua tại Phuxuanuni.edu.vn bạn có thể truy cập nhanh thông tin cần thiết tại phần mục lục bài viết phía dưới.
NPV là gì? Cách tính chỉ số NPV như thế nào? Ưu và nhược điểm của NPV là gì? Tất cả sẽ được Phuxuanuni.edu.vn bật mí trong bài viết dưới đây. Độc giả cùng theo dõi với Phuxuanuni.edu.vn nhé!
NPV là gì? Ví dụ về NPV
NPV là giá trị hiện tại ròng, được viết tắt từ cụm từ net present value. Điều này có nghĩa là giá trị tại thời điểm hiện tại của toàn bộ dòng tiền dự án trong tương lai được chiết khấu về hiện tại.
Chỉ số NPV được sử dụng trong ngân sách vốn và lập kế hoạch đầu tư. Việc làm này nhằm mục đích phân tích lợi nhuận của một dự án nào đó hay một khoản đầu tư dự kiến.
Phương pháp NPV xuất phát từ ý tưởng tiền trong hiện tại có giá trị cao hơn tiền trong tương lai. Do nó bị ảnh hưởng từ các yếu tố lạm phát và thu nhập các khoản đầu tư thay thế có thể thực hiện được trong khoảng thời gian. Nói một cách dễ hiểu hơn, một đồng tiền kiếm được trong tương lai sẽ không có giá trị bằng một đồng tiền ở hiện tại.

Ví dụ về NPV: Công ty của bạn đang cân nhắc mua một chiếc xe tải có giá trị khoảng 700 triệu đồng. Thời gian sử dụng dự kiến là 7 năm, sau đó sẽ thanh lý. Ước tính mỗi năm chiếc xe này sẽ mang về cho công ty 150 triệu đồng. Tỷ suất chiết khấu (theo chi phí lãi vay ngân hàng) là 10%.
Như vậy ở ví dụ này người ta sẽ dùng phương pháp tính giá trị hiện tại ròng NPV để phân tích khoản mục đầu tư cơ bản này. Từ đó sẽ giúp công ty đưa ra quyết định có nên mua chiếc xe tải này không.
Những ý nghĩa của NPV
Những ý nghĩa của NPV sẽ được Phuxuanuni.edu.vn bật mí ngay dưới đây:
- NPV đo lường được sự vượt quá hoặc thiếu hụt của các dòng tiền về giá trị hiện tại, một khi các chi phí tài chính được đáp ứng.
- NPV được dùng rộng rãi trong các lĩnh vực kinh tế, tài chính, kế toán nhằm lập ngân sách vốn.
- Chỉ số NPV thể hiện mức chênh lệch giữa thu nhập thật của dự án so với thu nhập mong đợi của dự án. Do đó nó có thể dùng để thẩm định các dự án dài hạn:
Nếu chỉ số NPV dương thì nó mang ý nghĩa đầu tư này sẽ có thể thêm giá trị cho công ty, dự án có thể được chấp nhận.
Nếu chỉ số NPV âm có nghĩa là đầu tư này có thể làm giảm giá trị công ty, dự án này nên bỏ qua.
Nếu chỉ số NPV bằng không, có nghĩa là đầu tư này không làm tăng cũng không làm mất đi giá trị cho công ty.

Đánh giá chỉ số NPV
Ưu điểm của chỉ số NPV
- Có tính đến rủi ro và giá trị thời gian của dòng tiền.
- Có thể xem xét được dòng tiền vào và các chi phí trong dự án.
- NPV cho phép so sánh các khoản đầu tư tiềm năng dễ dàng.
- Chỉ số NPV có thể tùy chỉnh để phản ánh chính xác các mối quan tâm và nhu cầu tài chính của công ty.

Hạn chế của chỉ số NPV
- NPV phụ thuộc vào tỷ suất chiết khấu là chủ yếu để tính toán, tuy nhiên, để xác định được tỷ lệ chiết khấu lại rất khó khăn khi thị trường vốn biến động.
- Để sử dụng được chỉ tiêu phân tích tài chính này, cần nắm rõ dòng thu chi cả đời dự án. Đây là một việc mà khó có thể dự kiến được.
- Hiệu quả của một đồng vốn được sử dụng chưa được nêu rõ trong chỉ tiêu này.
- NPV chỉ áp dụng để tính lợi nhuận cho những dự án cùng tuổi thọ.
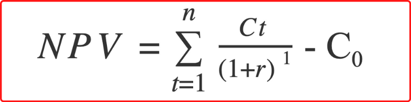
Cách tính NPV công thức chính xác
Dưới đây là công thức tính NPV:

Trong đó:
- n là tổng thời gian thực hiện dự án.
- t là thời gian tính dòng tiền.
- r là tỷ lệ chiết khấu.
- C0 là chi phí ban đầu để thực hiện dự án.
- Ct là dòng tiền thuần tại thời gian t.
NPV là một công cụ khá hữu ích để đánh giá tiềm năng của một dự án. Mong rằng qua bài viết trên của Phuxuanuni.edu.vn bạn có thể nắm được NPV là gì và cách tính toán chỉ số giá trị hiện tại ròng. Đừng quên để lại bình luận ở bên dưới nhé! Chúc độc giả cuối tuần thật vui vẻ!
Cảm ơn bạn đã xem bài viết NPV là gì? Chỉ số mà nhà đầu tư hay kinh doanh không nên bỏ qua tại Phuxuanuni.edu.vn bạn có thể bình luận, xem thêm các bài viết liên quan ở phía dưới và mong rằng sẽ giúp ích cho bạn những thông tin thú vị.
